column
e-books
2023, 40(3)
Abstract PDF
Research progress on preparation and properties of carbon fiber reinforced thermoplastic composites
CAO Jianfan, BAI Shulin, QIN Wenzhen, YAN Yi
2023, 40(3): 1229-1247. DOI: 10.13801/j.cnki.fhclxb.20220815.001
Abstract PDF
Research progress of graphene reinforced copper matrix composites
CHEN Chunjiao, BAO Hongwei, LI Yan, BAI Huizhong, YANG Shuohan, MA Fei
2023, 40(3): 1248-1262. DOI: 10.13801/j.cnki.fhclxb.20221008.001
Abstract PDF
Study review on structure lithium-ion batteries of carbon fiber reinforced composites
ZHANG Juntao, WANG Yazhen, LI Hui, MA Xinqi, ZONG Wenbo, JI Tianqi, WU Haihong
2023, 40(3): 1263-1273. DOI: 10.13801/j.cnki.fhclxb.20220608.001
Abstract PDF
Application and development of composite materials in large-scale wind turbine blade
LI Chengliang, YANG Chao, NI Aiqing, WANG Jihui, SONG Qiuxiang
2023, 40(3): 1274-1284. DOI: 10.13801/j.cnki.fhclxb.20220715.001
Abstract PDF
Research progress in piezoelectric catalysis of barium titanate nanomaterials
ZHANG Peng, WANG Xin, LI Zhi
2023, 40(3): 1285-1299. DOI: 10.13801/j.cnki.fhclxb.20220629.002
Abstract PDF
Research progress for preparation of composite nanofiber electromagnetic shielding and absorbing materials by electrostatic spinning technology
WANG Xihua, LIU Tao, HUANG Li, YUAN Ye
2023, 40(3): 1300-1310. DOI: 10.13801/j.cnki.fhclxb.20220612.001
Abstract PDF
Recent advances in thermosetting resin-based composite phase change materials and enhanced phase change energy storage
XIAO Tong, LIU Qingyi, ZHANG Jiahao, ZHAO Jiateng, LIU Changhui
2023, 40(3): 1311-1327. DOI: 10.13801/j.cnki.fhclxb.20220527.001
Abstract PDF
Research progress of biomass derived carbon in supercapacitors
SONG Xiaoqi, LEI Xiping, FAN Kai, TIAN Tian, ZHU Hang
2023, 40(3): 1328-1339. DOI: 10.13801/j.cnki.fhclxb.20220628.002
Abstract PDF
Research progress of adrenaline electrochemical sensors based on carbon nanomaterials
LIU Xueru, JIN Biao, MENG Longyue
2023, 40(3): 1340-1353. DOI: 10.13801/j.cnki.fhclxb.20220623.008
Abstract PDF
Research progress and the prospect of humidity response actuators
ZHENG Zongmin, HE Tian, YANG Zhen, LI Zheng
2023, 40(3): 1354-1364. DOI: 10.13801/j.cnki.fhclxb.20220511.001
Abstract PDF
Research progress of non-noble metal catalysts based on electrocatalytic oxygen evolution reaction
JIANG Jinchi, JIN Biao, MENG Longyue
2023, 40(3): 1365-1380. DOI: 10.13801/j.cnki.fhclxb.20220819.001
Abstract PDF
Research progress of self-healing coatings based on dynamic covalent crosslinking
ZHOU Weiming, DING Chunxiang, PAN Mingzhu
2023, 40(3): 1381-1394. DOI: 10.13801/j.cnki.fhclxb.20220424.002
Abstract PDF
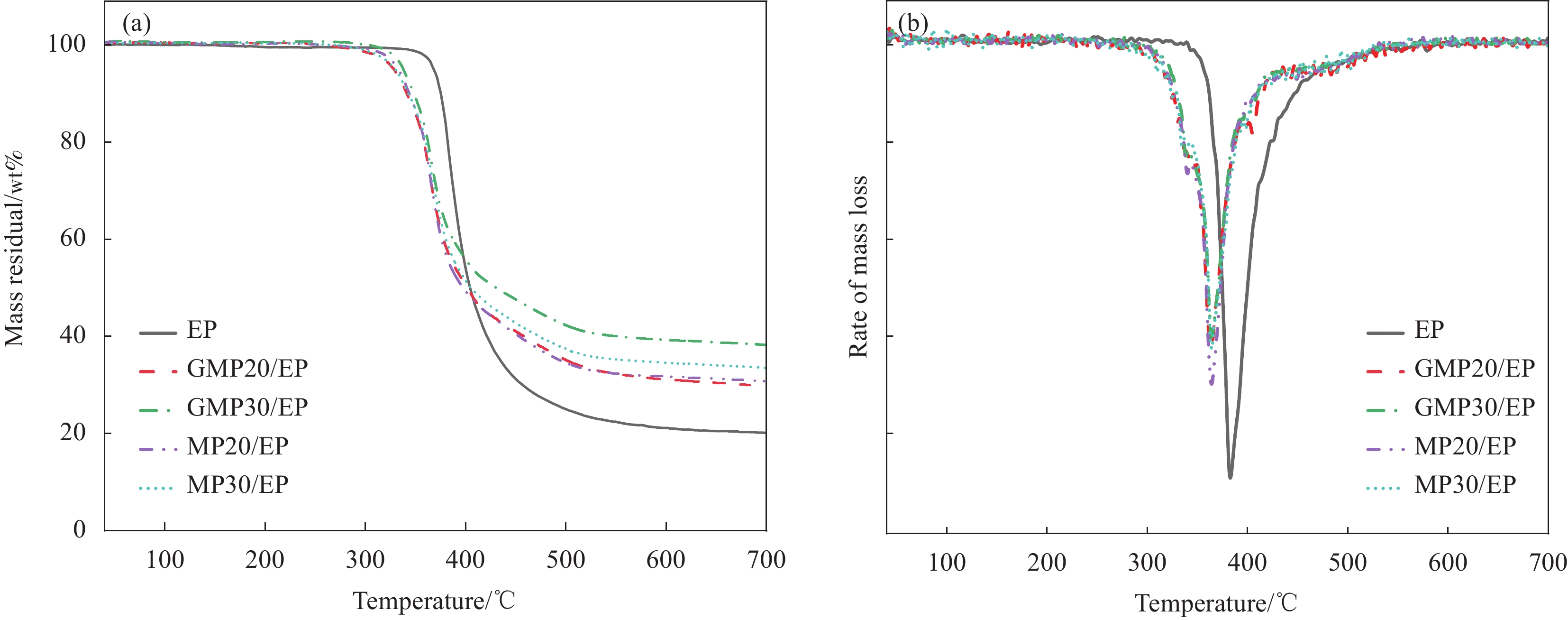
Epoxy resin composites with flame retardancy and thermal conductivity: Effect of graphene nanoplatelets hybridized with melamine phosphate
JIA Xi'ning, WANG Yan, SHI Hui, QU Hongqiang, HAO Jianwei
2023, 40(3): 1395-1405. DOI: 10.13801/j.cnki.fhclxb.20220415.003
Abstract PDF
Long-term mechanical properties of carbon fiber reinforced vinyl resin composites in hygrothermal environment
ZHANG Yuheng, WANG Jihui, WEI Jianhui, LIU Ming, LI Xu, DING Anxin
2023, 40(3): 1406-1416. DOI: 10.13801/j.cnki.fhclxb.20220509.001
Abstract PDF
Influence of nano-SiO2 dispersion on the direct current dielectric properties of SiO2/LDPE nanocomposite
ZHENG Changji, WANG Bo, YANG Jiaming, ZHAO Hong
2023, 40(3): 1417-1429. DOI: 10.13801/j.cnki.fhclxb.20220428.002
Abstract PDF
Preparation and properties of polylactic acid composite modified by bacterial cellulose
CHEN Qian, ZENG Wei, SHI Yikang, WU Xingyu, WANG Zhaozhi
2023, 40(3): 1430-1437. DOI: 10.13801/j.cnki.fhclxb.20220419.007
Abstract PDF
Preparation and application of micron-sized ZnS-Qds@ polysiloxane core-shell light diffusion hybrid microspheres
LUO Peidong, ZHAO Cheng, LUO Qiuping, ZHANG Qiang, YAN Feifei
2023, 40(3): 1438-1445. DOI: 10.13801/j.cnki.fhclxb.20220516.005
Abstract PDF
Forming mechanism of surface nitriding of high strength and high modulus carbon fiber by electrochemical modification
QIAO Weijing, TIAN Yanhong, ZHANG Xuejun
2023, 40(3): 1446-1454. DOI: 10.13801/j.cnki.fhclxb.20220406.003
Abstract PDF
Preparation of Ag-BiOBr/WO3 composites and enhanced sulfisoxazole removal performance
GAO Shengwang, ZHAO Xingpeng, LU Jiale, CUI Juan, WANG Guoying, ZHANG Qing
2023, 40(3): 1455-1467. DOI: 10.13801/j.cnki.fhclxb.20220424.003
Abstract PDF
Piezoresistive effect of carbon fiber 3D angle-interlock woven composites under bending
XUE Yousong, XUE Lingming, SUN Baozhong, GU Bohong
2023, 40(3): 1468-1476. DOI: 10.13801/j.cnki.fhclxb.20220516.006
Abstract PDF
Design, preparation and properties of honeycomb 3D integral woven structure microwave absorbing composites
LYU Lihua, WANG Rongrui, LIU Wendi, ZHOU Xinghai, GAO Yuan
2023, 40(3): 1477-1483. DOI: 10.13801/j.cnki.fhclxb.20220425.001
Abstract PDF
Preparation and performance of high-barrier transparent paper-based materials via multi-coating technology
QIU Ge, CHEN Gang, WEI Yuan, QIAN Yangyang, LEI Chunfa
2023, 40(3): 1484-1493. DOI: 10.13801/j.cnki.fhclxb.20220414.002
Abstract PDF
Preparation and performance of dopamine@boron nitride-carbon nanotubes/polyimide composite aerogel solar-driven evaporator
WANG Riyuan, CHEN Haoran, CHEN Fanglin, LI Tao, LU Hongdian, YANG Wei
2023, 40(3): 1494-1500. DOI: 10.13801/j.cnki.fhclxb.20220410.001
Abstract PDF
Effect of preparation conditions of Fe2O3-graphene-carbon nanotube composites on sulfur loading properties
DONG Wei, MENG Lingqiang, ZHAO Meina, SHEN Ding, SUN Wen, YANG Shaobin, WANG Wenbo, JI Lingxiao, YANG Zongsong, LIU Yaohan
2023, 40(3): 1501-1511. DOI: 10.13801/j.cnki.fhclxb.20220424.001
Abstract PDF
Controllable preparation method and performance of three-dimensional reduced graphene oxide aerogel under mild conditions
ZHAO Huhu, ZHOU Yujing, HU Xiaolan, ZHU Xiangdong, REN Mingwei
2023, 40(3): 1512-1521. DOI: 10.13801/j.cnki.fhclxb.20220424.005
Abstract PDF
Preparation of Ti1Li3Al2-LDHs/g-C3N4 composites and its photocatalytic properties in CO2-toluene reaction system
MA Mengdan, ZHOU Anning, DUAN Feiyang, JIA Xinyu, LING Jie
2023, 40(3): 1522-1533. DOI: 10.13801/j.cnki.fhclxb.20220510.001
Abstract PDF
Controlled construction of NaNbO3@g-C3N4 composites and their piezo-photocatalytic properties
SUN Shubo, YU Haihan, LI Qiang, GE Shenguang, JIANG Congcong, WANG Dan, ZHANG Li'na, CHENG Xin, GAO Chaomin
2023, 40(3): 1534-1540. DOI: 10.13801/j.cnki.fhclxb.20220415.001
Abstract PDF
Preparation of g-C3N4/Pb composites and application in anode materials for lead carbon batteries
XIE Fazhi, ZHANG Daode, YANG Shaohua, SONG Hengshuai, ZHANG Meng, FANG Liang, SHAO Yonggang
2023, 40(3): 1541-1551. DOI: 10.13801/j.cnki.fhclxb.20220515.001
Abstract PDF
Partially surface exposed CoFe2O4 anchored on N-doped carbon endows its high performance for oxygen evolution reaction
LI Chuang, WANG Yu, ZHANG Yanan, HOU Liqiang, LIU Xi'en
2023, 40(3): 1552-1559. DOI: 10.13801/j.cnki.fhclxb.20220510.002
Abstract PDF
Mechanical properties of emulsified asphalt rubber concrete
LIN Qiang, LIU Zanqun, YU Lei, ZHOU Yunchan, CUI Yu
2023, 40(3): 1560-1568. DOI: 10.13801/j.cnki.fhclxb.20220513.003
Abstract PDF
Mechanical performance of basalt fiber reinforced foam concrete subjected to quasi-static tensile and compressive tests
WANG Xiaojuan, CUI Haoru, ZHOU Hongyuan, LI Xiujie
2023, 40(3): 1569-1585. DOI: 10.13801/j.cnki.fhclxb.20220422.001
Abstract PDF
Dynamic compression mechanical properties of polymer modified carbon fiber reinforced concrete
WANG Zhihang, BAI Erlei, XU Jinyu, LIU Gaojie, YANG Ning
2023, 40(3): 1586-1597. DOI: 10.13801/j.cnki.fhclxb.20220429.002
Abstract PDF
Effect of graphene oxide on the impermeability of cementitious capillary crystalline waterproofing
QI Meng, PU Yundong, YANG Sen, SHENG Kuang, YUAN Xiaoya
2023, 40(3): 1598-1610. DOI: 10.13801/j.cnki.fhclxb.20220509.003
Abstract PDF
Effect law and mechanism of ceramic tile powder on compressive strength of ultra high performance concrete
ZHANG Liqing, PAN Yannian, HU Wenbing, XU Kaicheng, FU Shucheng, CHEN Mengcheng, HAN Baoguo
2023, 40(3): 1611-1623. DOI: 10.13801/j.cnki.fhclxb.20220630.002
Abstract PDF
Experimental on the shear behavior of pre-damaged RC beams strengthened by textile reinforced highly ductile concrete
ZHANG Min, DENG Mingke, ZHI Aolong, MA Xiangkun
2023, 40(3): 1624-1636. DOI: 10.13801/j.cnki.fhclxb.20220428.003
Abstract PDF
Effect of graphene surface properties on mechanical properties and microstructure of cement mortar composites
KONG Xiangqing, WANG Rongzheng, GAO Wei, ZHANG Tingting, FU Ying, SUN Ruoxi
2023, 40(3): 1637-1648. DOI: 10.13801/j.cnki.fhclxb.20220420.001
Abstract PDF
Preparation and properties of cryogels composed of agarose and nanoparticles of tannic acid and amino-capped poly(propylene glycol)
WANG Liwei, YU Xueying, HAN Jianmei, HE Wei
2023, 40(3): 1649-1654. DOI: 10.13801/j.cnki.fhclxb.20220512.003
Abstract PDF
Injectable nanomotors-hydrogel system with high cellular uptake for targeted cancer gene therapy
REN Jiaoyu, WANG Hong
2023, 40(3): 1655-1662. DOI: 10.13801/j.cnki.fhclxb.20220524.001
Abstract PDF
Preparation of catalytic composite copper oxide nanoparticles (CuO NPs)@cellulose nanofiber (CNF)-Si-N(OH)2 and its catalytic reduction of 4-nitrophenol
JI Dexian, LIN Zhaoyun, CHEN Jiachuan, LI Xincai, QIU Chenglong, YANG Guihua
2023, 40(3): 1663-1675. DOI: 10.13801/j.cnki.fhclxb.20220406.002
Abstract PDF
Preparation and photo-thermal controlled release properties of nanodiamond/yeast-chitosan composite microspheres
WANG Jin, BAI Bo, LUO Yu, GE Guangning, DENG Xiangyun, WANG Qizhao, CAO Fangli
2023, 40(3): 1676-1685. DOI: 10.13801/j.cnki.fhclxb.20220616.001
Abstract PDF
Microwave in-situ synthesis of 2D Ni-Fe MOF/diatomite composite and oil-water separation performance of modified polyvinyl alcohol hydrogel stainless steel screen
GAO Deyu, CHENG Zhilin
2023, 40(3): 1686-1695. DOI: 10.13801/j.cnki.fhclxb.20220429.003
Abstract PDF
Design, fabrication and testing of ceramic-matrix composite turbine blisk
LIU Xiaochong, XU Youliang, LI Jian, LUO Xiao, GUO Xiaojun, HU Xiaoan, CAO Xueqiang, LI Longbiao, LIU Chidong, DONG Ning, LIU Yongsheng
2023, 40(3): 1696-1706. DOI: 10.13801/j.cnki.fhclxb.20220407.001
Abstract PDF
Shear stability test and strength prediction of composite laminates
YANG Junchao, CHEN Xiangming, ZOU Peng, WANG Zhe
2023, 40(3): 1707-1717. DOI: 10.13801/j.cnki.fhclxb.20220530.002
Abstract PDF
Effects of the adhesive layer and prestress on the flexural behavior of damaged steel beams strengthened with CFRP plates
WANG Haitao, BIAN Zhining, XIONG Hao, CHEN Minsheng, WU Qiong
2023, 40(3): 1718-1728. DOI: 10.13801/j.cnki.fhclxb.20220409.001
Abstract PDF
Study on the optimization strategy of variable stiffness laminate considering out-of-plane fiber waviness
JU Xiangwen, XIAO Jun, WANG Dongli, ZHAO Cong, WANG Xianfeng
2023, 40(3): 1729-1739. DOI: 10.13801/j.cnki.fhclxb.20220429.001
Abstract PDF
Damage and repair study of in-situ polymerized carbon fiber reinforced PMMA composites
GONG Ming, ZHANG Daijun, ZHANG Jiayang, FU Shanlong, LI Jun, CHEN Xiangbao
2023, 40(3): 1740-1750. DOI: 10.13801/j.cnki.fhclxb.20220516.002
Abstract PDF
Meso-structure analysis and permeability prediction of satin fabric based on Micro-CT
CAO Pengjun, ZHAO Wenbin, YANG Bin, NI Aiqing, WANG Jihui
2023, 40(3): 1751-1763. DOI: 10.13801/j.cnki.fhclxb.20220420.002
Abstract PDF
Fracture mechanism of low-density fiber reinforced nanoporous resin composites
ZHANG Hongyu, QIAN Zhen, CAI Hongxiang, NIU Bo, ZHANG Yayun, LONG Donghui
2023, 40(3): 1764-1772. DOI: 10.13801/j.cnki.fhclxb.20220518.002
Abstract PDF
Bearing capacity of reinforced concrete columns strengthened by engineered cementitious composite under small eccentric compression load
WANG Xinling, LI Shiwei, LUO Pengcheng, FAN Jiajun
2023, 40(3): 1773-1784. DOI: 10.13801/j.cnki.fhclxb.20220513.002
Abstract PDF
Intelligent detection of delamination defect in curved structural quartz fiber reinforced polymer composites using terahertz technology
WANG Qiang, ZHAO Boyan, LIU Qiuhan, LIU Wenquan, GAO Jianguo, ZHANG Pengtao
2023, 40(3): 1785-1796. DOI: 10.13801/j.cnki.fhclxb.20220516.001
Abstract PDF
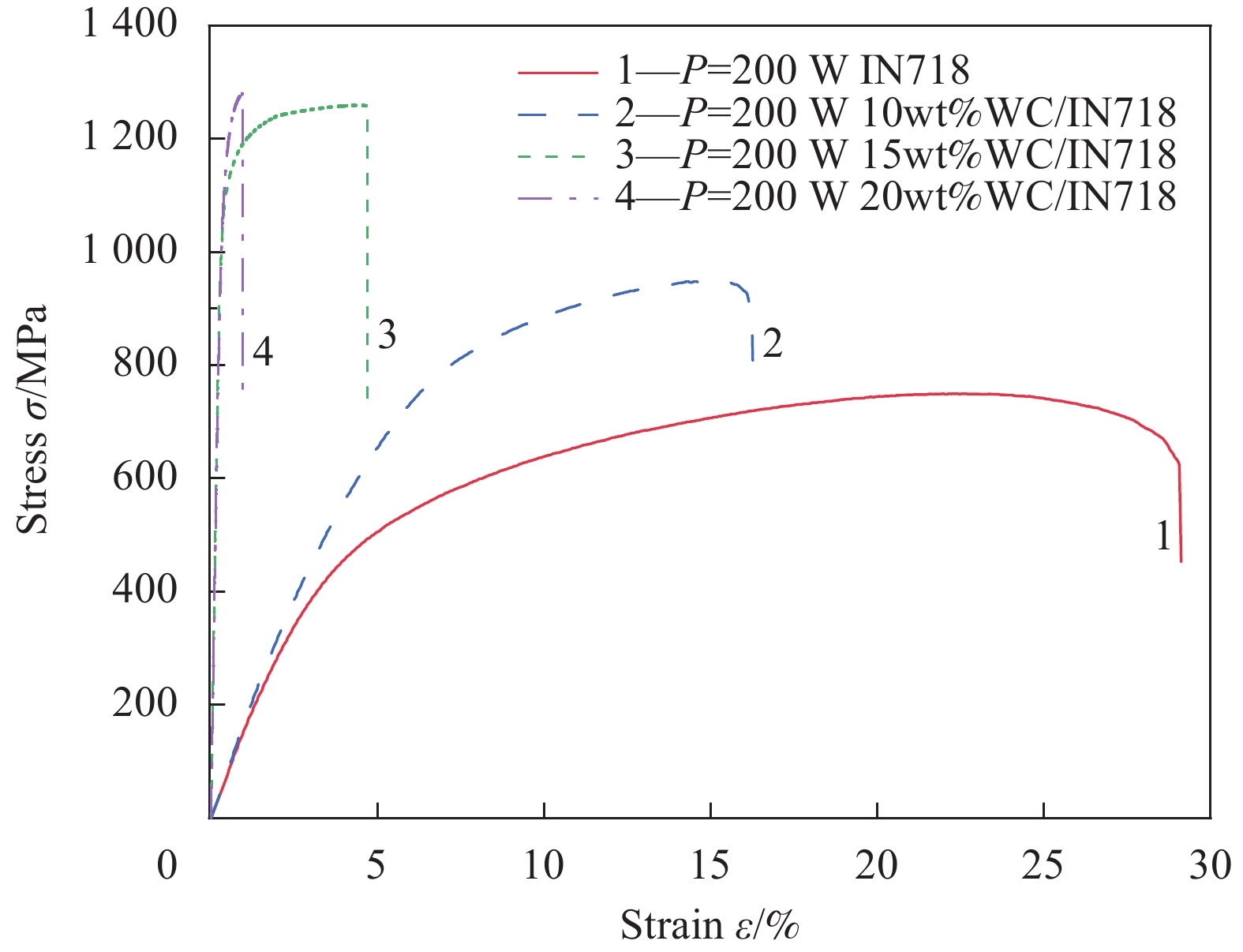
Interface connection mechanism and fracture behavior of nickel-based composites fabricated by selective laser melting
GAO Yongkang, CHEN Hongsheng, NIE Huihui, XUE Bolin, LIU Run'ai, ZHENG Liuwei, WANG Wenxian, CHEN Xiaochun
2023, 40(3): 1797-1806. DOI: 10.13801/j.cnki.fhclxb.20220419.006
Abstract PDF
Simulation of curing process of epoxy resin with embedded FBGs considering interfacial strain transfer mechanism
LEI Weihua, HU Haixiao, CAO Dongfeng, XIAO Lei, TIAN Yizhou, LI Shuxin, WANG Jingnan
2023, 40(3): 1807-1817. DOI: 10.13801/j.cnki.fhclxb.20220419.002
Abstract PDF