CF/PEEK热塑性复合材料结晶行为表征及分析

Crystallization behavior characterization and analysis of CF/PEEK thermoplastic composites

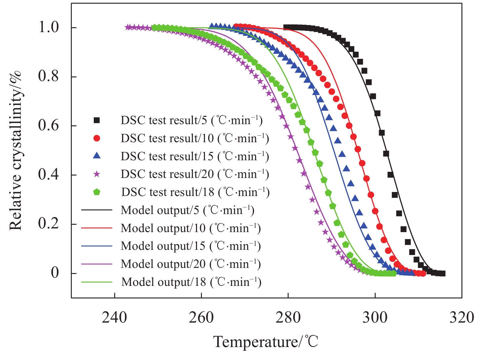
  • 摘要: 为了深入了解热塑性复合材料在非等温热成型工艺下的晶体结构和组织演变规律,优化成型工艺参数并提高热塑性复合材料结构成型质量及其热学、力学性能,本文研究了碳纤维增强聚醚醚酮(CF/PEEK)热塑性复合材料在不同降温速率下的结晶行为。开展了不同冷却速率下CF/PEEK复合材料的DSC测试实验。基于Avrami方程、Ozawa方程和Mo方程描述了CF/PEEK复合材料的非等温结晶行为,计算了非等温结晶活化能并建立了结晶度演化动力学模型。此外,本文还使用光纤布拉格光栅(FBG)对CF/PEEK复合材料融凝过程进行了原位检测,结合结晶度演化模型分析了聚合物基体融凝过程中的应变变化机制。结果表明,CF/PEEK复合材料结晶度随冷却速率的增大而减小,对应的结晶时间也同样减少。经验证,本文建立的结晶度演化动力学模型能够有效分析任意冷却速率下CF/PEEK复合材料的结晶度演化过程,可以结合FBG应变检测分析CF/PEEK热塑性复合材料融凝过程中基体相变对特征应变的影响。

     

    Abstract: To gain a comprehensive understanding of the non-isothermal crystallization behavior of carbon fiber reinforced polyetheretherketone (CF/PEEK) composites, optimize process parameters, and enhance the structural forming quality and thermal and mechanical properties of thermoplastic composites, this study investigated the crystallization behavior of CF/PEEK thermoplastic composite materials under different cooling rates. Through conducting differential scanning calorimetry (DSC) experiments on CF/PEEK composite materials at various cooling rates, the non-isothermal crystallization behavior of CF/PEEK composite materials was analyzed using the Avrami, Ozawa, and Mo equations. The activation energy of non-isothermal crystallization was determined, and the crystallization kinetics model was developed. In addition, in-situ detection of the CF/PEEK composite material melting/crystallization process was carried out using fiber Bragg grating (FBG), and the strain variation mechanism during the polymer matrix melting/crystallization process was analyzed in conjunction with the crystallization kinetics model. The results indicate that the crystallinity of CF/PEEK composite materials decreases with increasing cooling rate, accompanied by a decrease in the corresponding crystallization time. It has been demonstrated that the established crystallinity crystallization kinetic model in this study effectively analyzes the crystallization process of CF/PEEK composite materials under different cooling rate. Additionally, it can be combined with fiber Bragg grating strain detection to analyze the influence of matrix phase transition on characteristic strain during the melting/crystallization process of CF/PEEK thermo-plastic composites.

     

/

返回文章
返回