预应力及超低温循环作用下 碳纤维/环氧树脂复合材料微裂纹行为

Research on the microcrack behavior of carbon fiber/epoxy composites under prestress and ultra-low temperature cycling

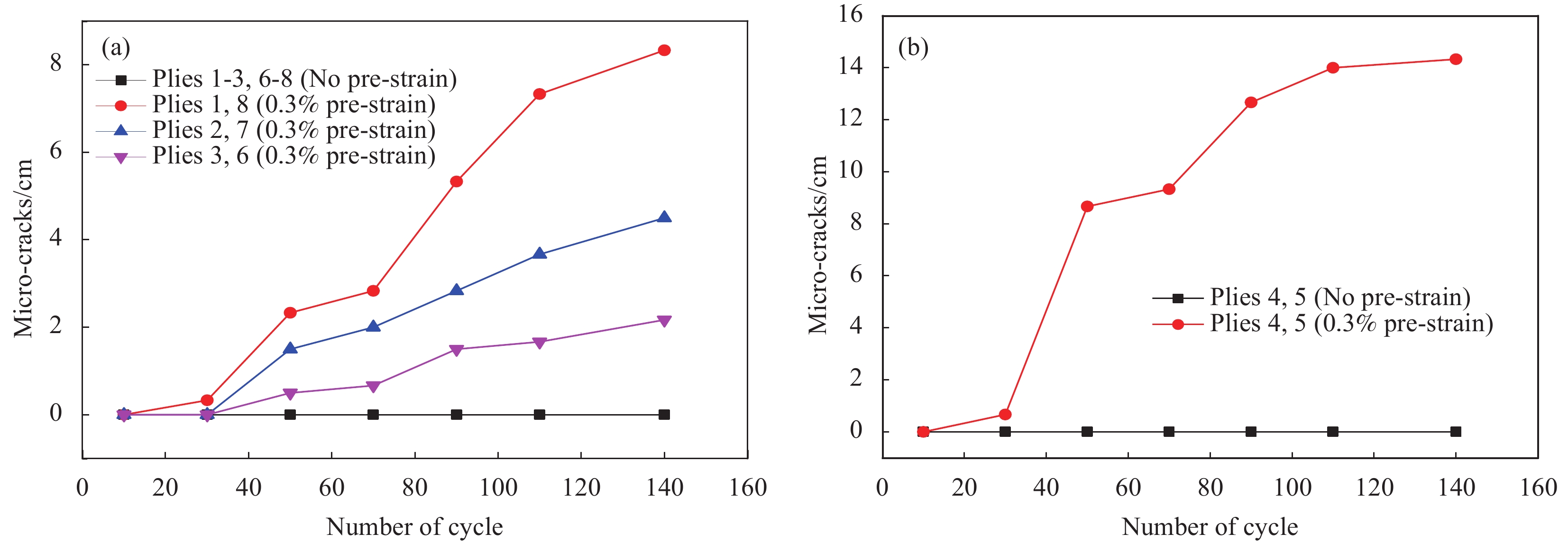
  • 摘要: 低温燃料贮箱复合材料化是实现运载火箭结构减重、提升运载能力的有效途径,但贮箱在服役过程中要承受超低温循环和机械载荷的共同作用,容易导致复合材料内部产生微裂纹,从而威胁结构安全。本文利用简易的预应力加载装置对碳纤维/环氧树脂复合材料正交层合板进行超低温循环试验,研究预应力和超低温循环共同作用下复合材料层合板的微裂纹萌生和演化规律。结果表明:层合板边缘层的微裂纹密度总体大于内层,但中心两个90°叠加层表现出最大的微裂纹密度;与只有低温循环条件相比,引入预应力后层合板在同样的低温循环次数下微裂纹密度更大,增长速率更快;随着循环次数的增加,微裂纹密度的增长速率先快后慢,最终趋于饱和;随着预应力水平的提升,层合板中微裂纹的萌生和扩展速率也进一步加剧。本文初步揭示了复合材料在载荷及超低温循环耦合作用下的微裂纹萌生和演化机制,可为低温复合材料贮箱的研制和应用提供有意义的参考。

     

    Abstract: The use of composite materials in low-temperature fuel tanks is an effective approach to achieve weight reduction and enhance carrying capacity for launch vehicle structures. However, as the tank is subjected to both ultra-low temperature cycling and mechanical loads during service, it is prone to internal microcrack formation in composite materials, posing a threat to structural safety. In this study, a simple pre-stressing device was used to conduct ultra-low temperature cycling tests on carbon fiber/epoxy orthotropic laminates. The research focused on the initiation and evolution of microcracks in composite laminates under the combined action of pre-stress and ultra-low temperature cycling. The results indicate that the microcrack density at the edge layers of the laminate is generally higher than that in the inner layers, but the central two 90° stacked layers exhibits the maximum microcrack density. Compared with conditions of only low-temperature cycling, the pre-stress results in a higher microcrack density in the laminate under the same number of low-temperature cycles, with a faster growth rate. With an increase in the number of cycles, the growth rate of microcrack density initially accelerates and then slows down, eventually reaching saturation. As the pre-stress level increases, the initiation and propagation rates of microcracks in the laminate are further intensified. This study provides a preliminary insight into the mechanism of microcrack initiation and evolution in composite materials under the coupled action of load and ultra-low temperature cycling, offering meaningful references for the development and application of low-temperature composite material tanks.

     

/

返回文章
返回