低速冲击下复合材料层合板损伤预测模型评估

Assessment of damage prediction models for composite laminates under low-velocity impact

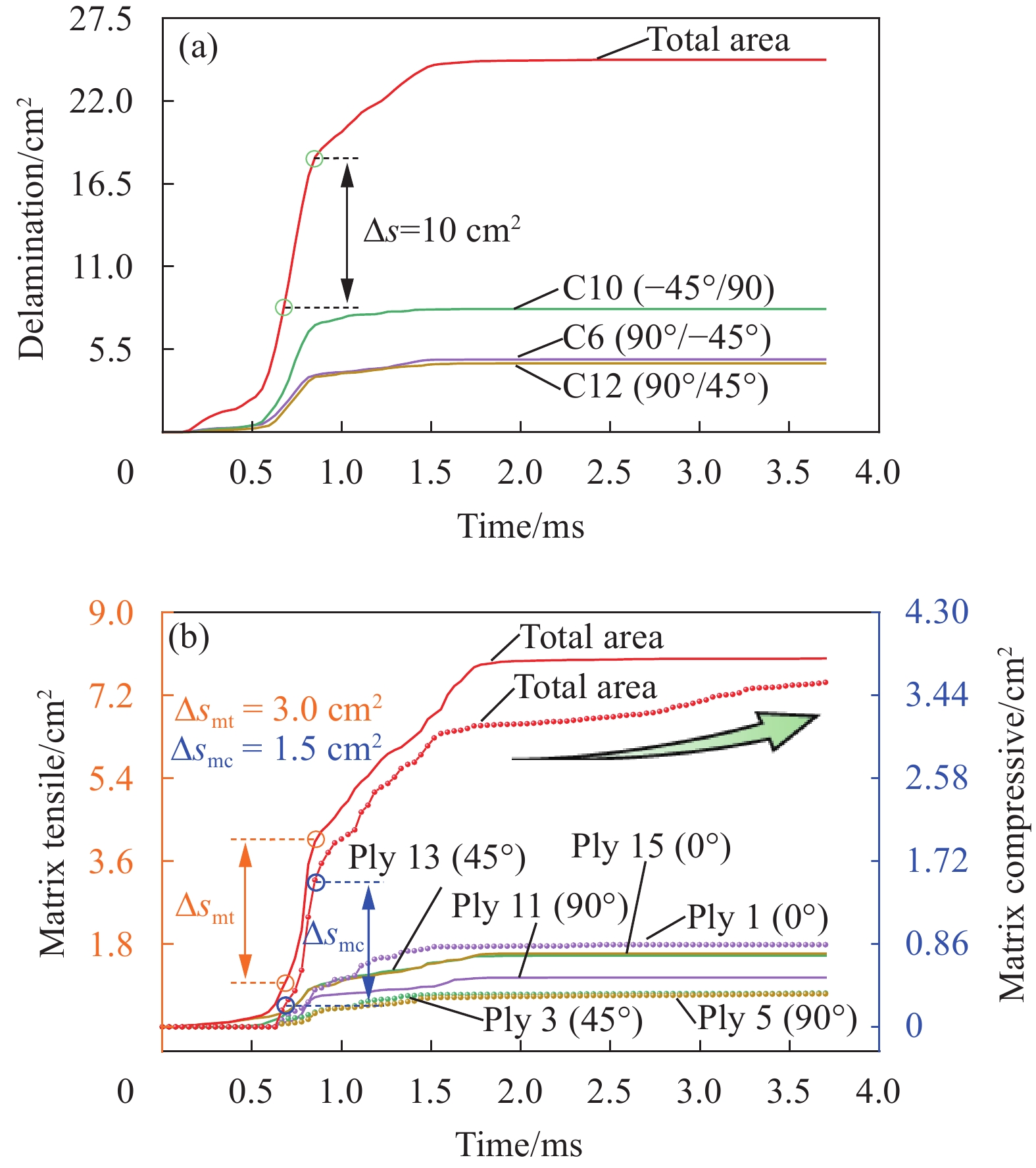
  • 摘要: 针对碳纤维复合材料层合板低速冲击损伤的预测问题,采用数值模拟方法从结构外部力学响应、内部损伤状态两个方面,探讨3种损伤起始准则和3种演化方法对其影响。建立了分析层合板冲击问题的三维有限元模型,设计了包含起始判定、渐进演化及本构关系的损伤计算流程。研究了冲击过程损伤面积定量演变,为阐释损伤机制提供新视角。结合实验数据对冲击损伤数值模型进行了验证,并对不同起始准则、演化方法的预测能力进行了评价探讨。结果表明,数值预测与实验测试的动态力学响应曲线吻合度较高,证明该数值模型能够准确预测低速冲击损伤。同时发现起始准则与演化方法的结合对损伤模型预测性能十分关键,Hashin-Strain准则结合线性等效应变方法(Hashin-Strain-E1)和Puck准则结合指数型等效位移方法(Puck-E3)最优。然而,当Hashin-Strain准则结合线性或指数型等效位移方法时(Hashin-Strain-E2/E3),会由于刚度退化严重而引发穿透性损伤。研究成果为复合材料层合板低速冲击损伤预测与评估提供参考和借鉴。

     

    Abstract: For the prediction of low-velocity impact damage in carbon fiber composite laminates, this study examined the influence of three damage initiation criteria and three evolution methods from structural overall mechanical response and internal damage state. To facilitate our investigation, a three-dimensional finite element model analyzing the impact behavior of laminate was established. Subsequently, a damage calculation process encompassing initiation determination, progressive evolution, and constitutive relationship was designed. Additionally, the quantitative evolution of damage area during impact was studied, which provided a new perspective for elucidating the damage mechanism. Based on experimental data, the accuracy of numerical simulation was verified. Then the prediction capabilities of different initiation criteria and evolution methods were evaluated and discussed. The results show that the numerical prediction agrees well with the experiment in dynamic mechanical response curve. This proves the numerical model can accurately predict the impact damage. Meanwhile, it has been found that the combination of initiation criteria and evolution methods significantly impacts the predictive efficacy of damage models. The pairing of the Hashin-Strain criterion with the linear equivalent strain method (Hashin-strain-E1) and the Puck criterion with the exponential equivalent displacement method (Puck-E3) yields optimal results. However, coupling the Hashin-Strain criterion with either the linear or exponential equivalent displacement method (Hashin-strain-E2/E3) can lead to penetrating damage due to severe degradation in stiffness. These research findings offer valuable insights into predicting low-velocity impact damage in composite laminates.

     

/

返回文章
返回