用于锌离子混合电容器的N、P共掺杂多孔炭/MnO2复合材料

N, P co-doped porous carbon/MnO2 composites for zinc-ion hybrid capacitors

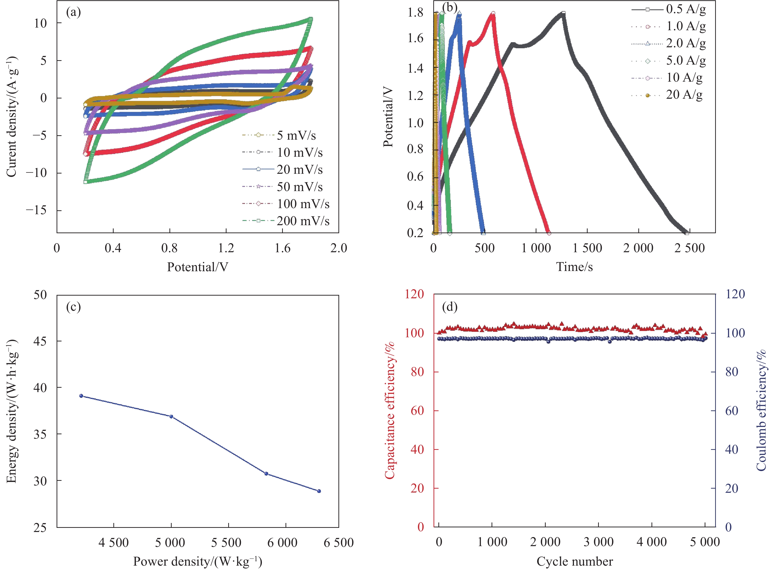
  • 摘要: 使用化石燃料导致的环境问题日益严重,清洁能源装置与可再生能源的发展已经成为必然趋势。本文以咖啡渣为碳源,通过简单的一步活化法制备出咖啡渣炭/MnO2复合材料,并探讨了其在锌离子混合电容器(ZHSC)领域的应用。BET测试表明:咖啡渣炭/MnO2复合材料的比表面积为550.25 m2/g,总孔体积为0.6284 cm3/g。电化学测试结果表明,电极材料在电流密度为0.5 A/g时其比电容为401.5 F/g,在20 A/g的大电流密度下比电容达到264 F/g,具有良好的倍率性能。组装的ZHSC在0.5 A/g的电流密度下达到74.2 mA·h/g,能量密度为39.1 W·h/kg,功率密度为4264 W/kg;在10 A/g电流密度下,5000次充放电循环测试后其电容保持率为98%,库伦效率为98.7%,表明其有良好的循环稳定性和可逆性。因此,咖啡渣炭/MnO2复合材料为生物质炭与MnO2复合材料的探索提供了新思路。

     

    Abstract: Environmental problems caused by the use of fossil fuels have become increasingly serious, and the development of clean energy devices and renewable energy has become an inevitable trend. In this paper, coffee grounds carbon/MnO2 composite was prepared by a simple one-step activation method, and its application in zinc-ion hybrid capacitors (ZHSC) field was discussed. BET test shows that the specific surface area of coffee grounds carbon/MnO2 composite is 550.25 m2/g, and the total pore volume is 0.6284 cm3/g. Electrochemical tests show that electrode displayed excellent specific capacitance of 401.5 F/g at a current density of 0.5 A/g and 264 F/g at a current density of 20 A/g, which revealed good rate capability. Meanwhile, ZHSC reaches 74.2 mA·h/g, energy density is 39.1 W·h/kg and power density is 4264 W/kg at 0.5 A/g current density. Furthermore, the capacitance retention rate is 98% and the Coulomb efficiency is 98.7% after 5000 charge-discharge cycles, at the current density of 10 A/g, which indicating it has good cyclic stability and reversibility. Therefore, coffee grounds carbon/MnO2 composites provide a new idea for the exploration of biomass carbon and MnO2 composites.

     

/

返回文章
返回