高渗透支撑SBS膜制备与CH4/N2分离性能

Preparation and CH4/N2 separation performance of high permeability supported SBS membrane

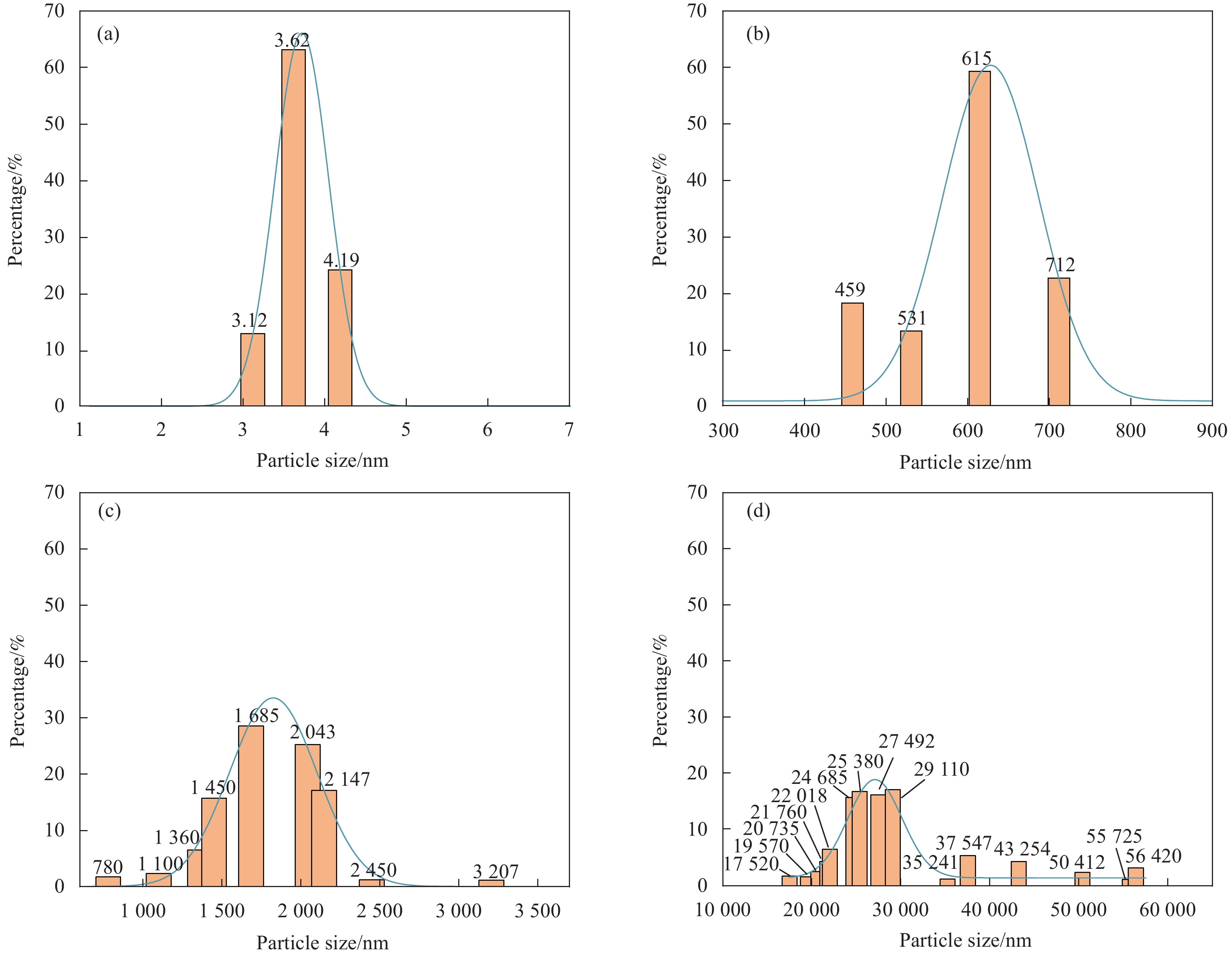
  • 摘要: 苯乙烯–丁二烯–苯乙烯嵌段共聚物(SBS)具有软硬段互相结合的独特结构,可通过挤压实现对气体分子的分离。本文以多孔α-Al2O3陶瓷管为载体,利用一系列x-SBS/四氢呋喃(THF)树脂溶液制备了相应的SMS-x分离膜。FTIR、XRD、SEM等表征测试结果表明,SBS树脂与载体之间可较好结合,分离膜厚度均小于50 μm。气体测试表明,在0.05~0.3 MPa压力范围内,SMS-20分离膜对CH4/N2气体选择性(α)最优,在0.1 MPa时,α(CH4/N2) =3.81,CH4的摩尔通量为1.41×10−6 mol·m−2·s−1·Pa−1。在0.3 MPa,SMS-10的CH4摩尔通量最大,可达3.47×10−6 mol·m−2·s−1·Pa−1。此外,通过不同比例混合气体的测试验证了本文制备的分离膜同样可胜任相应的分离工作。本文制备的所有分离膜在0.1 MPa压差下可稳定分离气体长达7 d,具有良好的性能稳定性。因此,多孔α-Al2O3支撑型SBS分离膜可兼备优异的渗透通量及气体选择性,在煤层气CH4的富集方面提供有利选择。

     

    Abstract: Polystyrene-polybutadiene-polystyrene (SBS) block resin has a unique structure in which soft and hard segments are combined with each other, and gas molecules can be separated by extrusion. In this study, a series of x-SBS/tetrahydrofuran (THF) resin solutions were used to prepare the corresponding SMS-x separation membranes with porous α-Al2O3 ceramics tubes as the carrier. FTIR, XRD, SEM and other characterization test results show that the SBS resin can be well combined with the carrier, and the thickness of the separation membrane is less than 50 μm. The gas test shows that the SMS-20 separation membrane has the best CH4/N2 gas selectivity (α) in the pressure range of 0.05-0.3 MPa. At 0.1 MPa, α(CH4/N2) =3.81, and the molar flux of CH4 is 1.41×10−6 mol·m−2·s−1·Pa−1. At 0.3 MPa, the CH4 molar flux of SMS-10 is the largest, which can reach 3.47×10−6 mol·m−2·s−1·Pa−1. In addition, the test of different proportions of mixed gas verifies that the separation membrane prepared in this paper can also be competent for the corresponding separation work. All the separation membranes prepared in this paper can stably separate gas for up to 7 days at a pressure difference of 0.1 MPa, and have good performance stability. Therefore, the porous α-Al2O3 substrate SBS separation membrane can have both excellent permeation flux and gas selectivity, and provide a favorable choice for the enrichment of coal-bed methane CH4.

     

/

返回文章
返回