基于聚苯胺的抗菌抗溶胀导电水凝胶的制备及其应用

Preparation of antimicrobial anti-swelling conductive hydrogels based on polyaniline and their applications

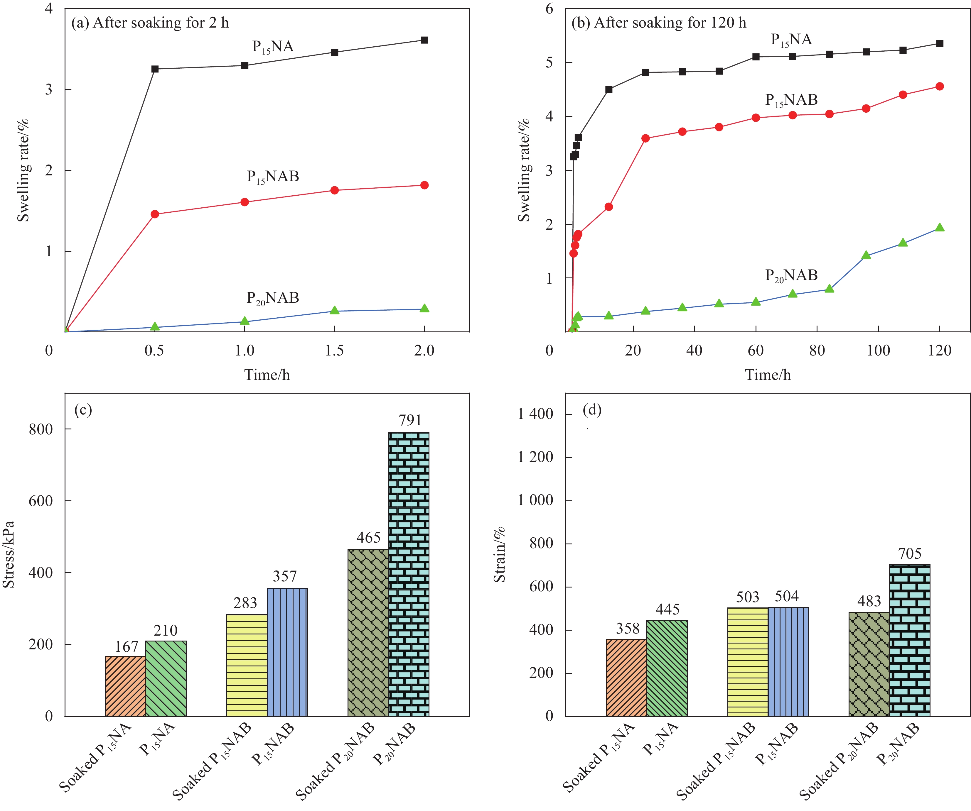
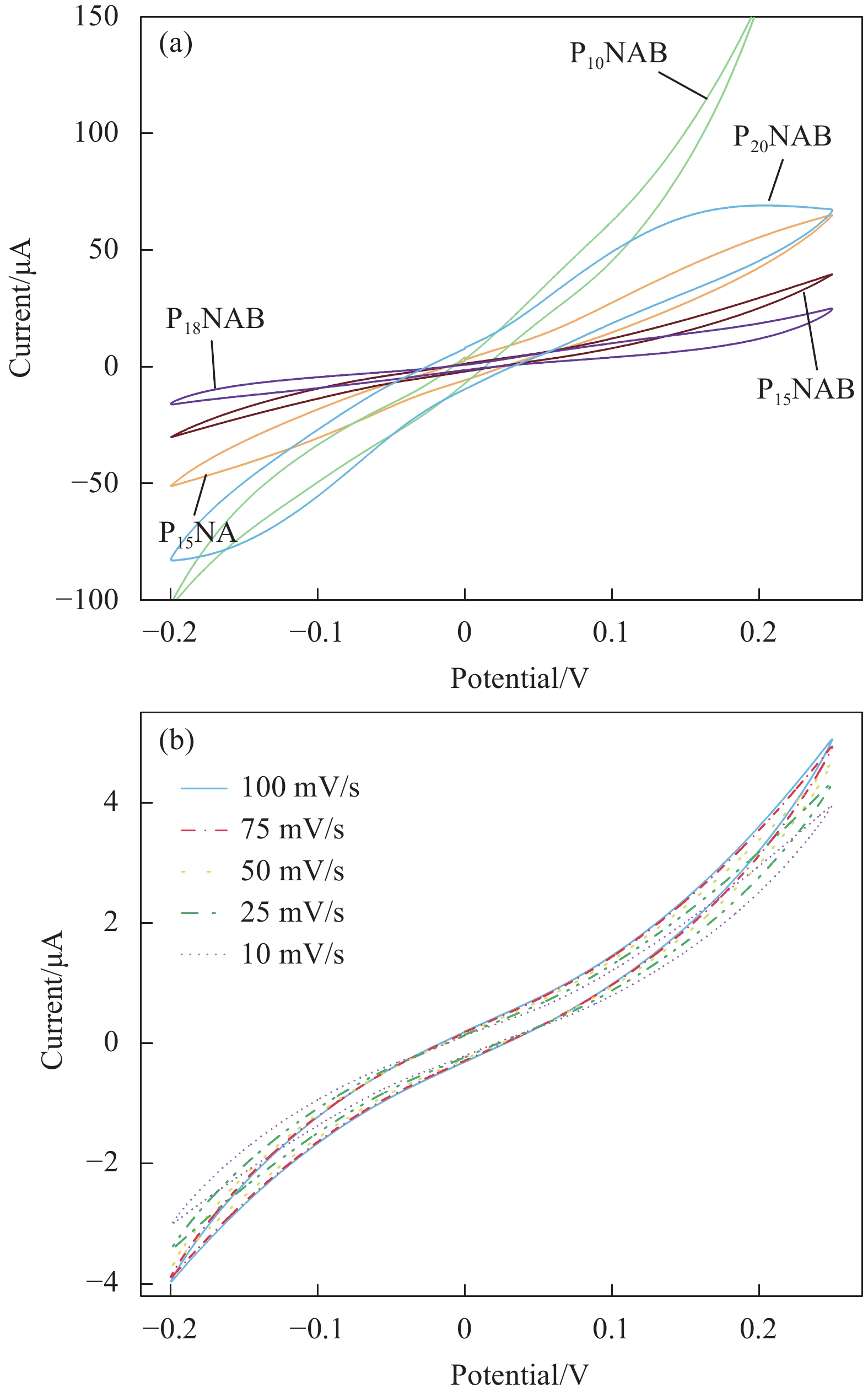
  • 摘要: 导电水凝胶是柔性传感器件理想的候选材料。但在实际应用过程中,导电水凝胶的成本高,存在力学性能差、传感探测范围有限、功能单一、环保性等问题,严重阻碍了它的实际应用。为了开发一种力学性能优秀、成本低、环保和多功能的、可适用于各种复杂应用环境的导电水凝胶,选用聚乙烯醇(PVA)和导电聚合物聚苯胺(PANI)构成水凝胶主体的双网络结构,植酸(PA)和硼酸(BA)作为交联剂构建一种低成本、环境友好、高强度和多功能PVA/PANI/PA/BA导电水凝胶。研究了不同配比的PVA/PANI的复合水凝胶的力学性能、微观结构、电化学性能、抗溶胀性和抗菌性等性能,探讨了基于此导电水凝胶制作的传感器的传感性能。研究表明在15wt% PVA的复合体系中,此水凝胶兼顾了优秀的拉伸强度(断裂应力达357 kPa,断裂形变达504%)、良好的电化学性能(导电率为146 mS/m)、优异的抗溶胀性(浸泡15 d溶胀率仅4.56%,对应的断裂强度变化和断裂伸长率变化分别不超过20%和0.1%)和优秀的抗菌性能等多项功能,做到了各功能的相互平衡。基于此水凝胶制作的传感器来监测人体实时的运动情况时,能将眉头、手指和手腕运动信号转换成稳定的电信号,可将其应用于电子皮肤和可穿戴传感器等领域。

     

    Abstract: Conductive hydrogels are ideal candidates for flexible sensor devices. However, in the practical application process, the high cost of conductive hydrogel, poor mechanical properties, limited sensing detection range, single function, environmental protection, and other issues, seriously hindered its practical application. To develop an electrically conductive hydrogel with excellent mechanical properties, low-cost, environmentally friendly, and multifunctional for a variety of complex application environments, polyvinyl alcohol (PVA) and the conductive polymer polyaniline (PANI) were selected to form a double network structure of the hydrogel body, and phytic acid (PA) and boronic acid (BA) were used as cross-linking agents to construct a low-cost, environmentally friendly, high-strength, and multifunctional PVA/PANI/PA/BA conductive hydrogel. The mechanical properties, microstructure, electrochemical properties, swelling resistance, and antimicrobial properties of composite hydrogels with different ratios of PVA/PANI were investigated, and the sensing performance of sensors based on this conductive hydrogel was discussed. It is shown that in the composite system with 15wt% PVA, this hydrogel has excellent tensile strength (breaking stress up to 357 kPa, deformation at break up to 504%), good electrochemical properties (electrical conductivity of 146 mS/m), excellent resistance to swelling (the swelling rate is only 4.56% for 15 days of immersion, and the changes in breaking strength and elongation at break do not exceed 20% and 0.1%, respectively), and excellent antimicrobial properties, achieving a balance of functions. When sensors made based on this hydrogel are used to monitor the real-time movement of the human body, they can convert brows, finger, and wrist movement signals into stable electrical signals, which can be used in fields such as electronic skin and wearable sensors.

     

/

返回文章
返回