具有恶劣环境耐受性的柔性 MXene-炭黑/聚酰亚胺电磁屏蔽复合薄膜的制备与性能

Preparation and properties of flexible MXene-carbon black/polyimide electromagnetic shielding composite films with harsh environment resistance

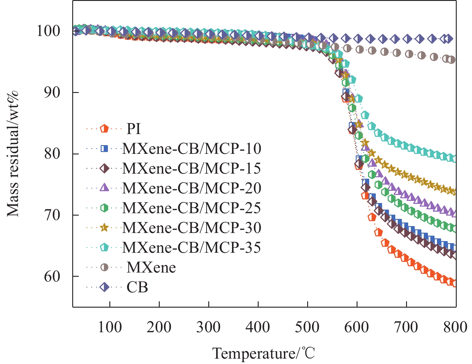
  • 摘要: 导电聚合物复合材料(CPC)以其价格低廉、质量轻、比强度高、耐腐蚀、屏蔽性能优异等优点,正逐步取代传统的金属基电磁屏蔽材料,但传统聚合物对极端温度、酸性和碱性溶液等恶劣环境的耐受性较差,影响了 CPC 在恶劣环境中的电磁屏蔽性能(EMI SE),难以满足特殊环境等领域的需求。因此,探索制备方法简单、适用于极端环境的柔性多功能电磁屏蔽材料仍然是一项挑战。本文通过刮膜法和热亚胺化工艺,成功制备了具有高电磁屏蔽效能的 MXene-炭黑/聚酰亚胺(MXene-CB/MCP)复合薄膜。由于 MXene 和炭黑(CB)具有良好的导电性以及二者之间的协同效应,厚度为 80 μm的MXene-CB/MCP-35 复合薄膜在 8.2~12.4 GHz 的频率范围内的EMI SE 和电磁屏蔽效能与厚度的比值(EMI SE/t)分别为 24.06 dB 和 300.75 dB/mm。且经过复杂环境处理后,该复合薄膜仍表现出稳定的电磁屏蔽效能。另外复合薄膜都具有优异的力学性能,MXene-CB/MCP-35 复合薄膜的平均拉伸强度仍可达到 100.40 MPa。与此同时,薄膜还具有优异的热稳定性和阻燃性。

     

    Abstract: Conductive polymer composites (CPC) are gradually replacing traditional metal-based electromagnetic shielding materials due to their advantages of low price, light weight, high specific strength, corrosion resistance, and excellent shielding performance, etc. However, conventional polymers are less tolerant of harsh environments such as extreme temperatures, acidic and alkaline solutions, which affects the electromagnetic shielding performance (EMI SE) of CPC in harsh environments and makes it difficult to meet the needs of special environments and other fields. Therefore, it is still a challenge to explore flexible multifunctional EM shielding materials with simple preparation methods and suitable for extreme environments. In this paper, MXene-carbon black/polyimide (MXene-CB/MCP) composite films with high electromagnetic shielding efficiency were successfully prepared by the scraping method and thermal imidization process. Due to the good electrical conductivity of MXene and carbon black (CB) and the synergistic effect between them, the EMI SE and the ratio of electromagnetic shielding effectiveness to thickness (EMI SE/t) of the MXene-CB/MCP-35 composite film with a thickness of 80 μm were 24.06 dB and 300.75 dB/mm, respectively, in the frequency range of 8.2-12.4 GHz, and after complex environmental treatment, the composite film was successfully fabricated. The composite films show stable EMI shielding performance even after complex environmental treatment. In addition, the composite films have excellent mechanical properties, with the average tensile strength of the MXene-CB/MCP-35 composite film still reaching 100.40 MPa. The films also have excellent thermal stability and flame retardancy.

     

/

返回文章
返回