锥柱一体化复合材料壳体结构设计与损伤失效分析

Structural design and damage failure analysis of cone-cylinder integrated composite case

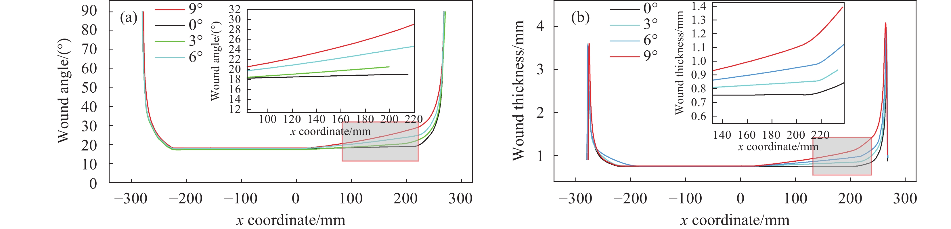
  • 摘要: 锥柱一体化复合材料壳体作为新兴固体火箭发动机主体承载结构形式,相较于直筒结构固体火箭发动机壳体纤维缠绕结构形式复杂,且其在承受内压载荷下的损伤失效过程及失效模式不明晰。为此,本文构建了锥柱一体化复合材料壳体分析模型,开展了锥柱一体化缠绕异型结构件线型规划,失效模式、爆破位置及爆破压强预测方面研究。结果表明:锥柱一体化复合材料壳体交接处存在应力突变现象,削弱了该处纤维缠绕层的承载能力,且主要呈现为环向纤维断裂失效模式。本文研究成果可以为锥柱一体化复合材料壳体的结构铺层设计与失效分析提供理论依据。

     

    Abstract: The cone-cylinder integrated composite case is an emerging bearing structure form of the solid rocket motor, the fiber wound structure is complex compared with the straight cylindrical structure, and the failure process and the ultimate failure mode when undertaking the internal pressure load are not clear. Therefore, a cone-cylinder integrated composite case simulation model was built to study the trajectory patterns, failure mode, fracture position, and burst pressure. A significant stress mutation exists at the transition region of the straight and the cone parts, which weakens the undertaking capacity of the composite case. All fiber fracture at this region of hoop layer exhibits fracture ultimately. The study results can apply a reference when designing and failure analysis for the cone-cylinder integrated composite case.

     

/

返回文章
返回