纳米氧化石墨烯和乙烯-醋酸乙烯酯胶粉对水泥砂浆力学性能及微观结构的影响

Effects of nano-graphene oxide and ethylene-vinyl acetate rubber powder on mechanical properties and microstructure of mortar

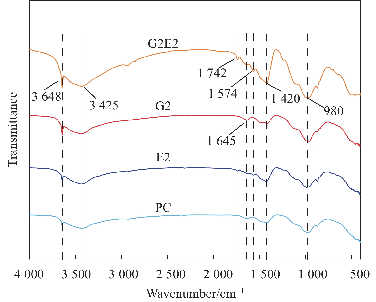
  • 摘要: 本文采用纳米氧化石墨烯(GO)和乙烯-醋酸乙烯酯胶粉(EVA)对普通水泥砂浆进行改性,采用FTIR、XRD、TG、NMR及SEM等测试手段,在材料的化学组成、孔隙结构和微观形貌等方面揭示了GO和EVA对水泥砂浆力学性能的影响机制。结果表明:分散良好的GO降低了新拌砂浆的流动度,EVA的加入改善了这一现象;单掺0.03wt% GO的试件力学性能达到最佳,7 d龄期的抗压、抗折强度较基准组(PC)试件提高了24.1%和31%。GO和EVA复掺后,掺量分别控制在0.03wt%和4wt%时试件的28 d力学性能最优,抗压、抗折强度分别为72 MPa和12 MPa,较PC试件提高了25.9%和33.3%。微观试验结果表明:GO的成核效应加速了水泥水化进程并且可以调节花状水化晶体的产生和生长,从而细化试样孔径分布,良好的填充效应使得孔隙结构变得更加致密。EVA早期形成网状薄膜阻碍水泥水化进程,在水化后期,充分发育的网状薄膜与水泥浆体形成互穿网络结构,促进孔隙结构致密化。二者发挥协同作用,显著增强水泥砂浆力学性能。

     

    Abstract: In this study, nano-graphene oxide (GO) and ethylene-vinyl acetate rubber powder (EVA) were used to modify ordinary cement mortar, and the mechanism of the influence of GO and EVA on the mechanical properties of cement mortar was revealed in terms of the chemical composition, pore structure, and microscopic morphology of the materials by using testing methods such as FTIR, XRD, TG, NMR, and SEM. The results indicate that the well-dispersed GO reduces the fluidity of fresh mortar, and this effect could be mitigated by incorporating EVA. The mechanical properties of specimens containing 0.03wt% GO alone were found to be optimal, with a 24.1% increase in compressive strength and a 31% increase in flexural strength at 7 days compared to the benchmark group (PC). Subsequent to the composite infusion of GO and EVA, the 28-day mechanical properties of the resultant specimens exhibit peak values at a GO dosage of 0.03wt% and an EVA dosage of 4wt% weight percent, respectively. Notably, the compressive and flexural strengths recorded are 72 MPa and 12 MPa, demonstrating enhancements of 25.9% and 33.3% when compared to the properties of the PC specimens. The microscopic test outcomes demonstrate that: The nucleation effect of GO accelerates the cement hydration process and can modulate the generation and growth of flower-like hydration crystals, thus refining the pore size distribution of the specimen, and the good filling effect makes the pore structure become denser. The establishment of reticulation film in the early stage of EVA impedes the hydration process of the cement, and in the late stage of hydration, the fully developed reticulation film forms an interpenetrating network with the cement paste, facilitating the pore structure and densification. The cooperative interaction of the two significantly enhances the mechanical properties of the cement mortar.

     

/

返回文章
返回