离子交联纳米复合高强度水凝胶的制备与性能

Preparation and properties of ionic crosslinked nanocomposite high strength hydrogel

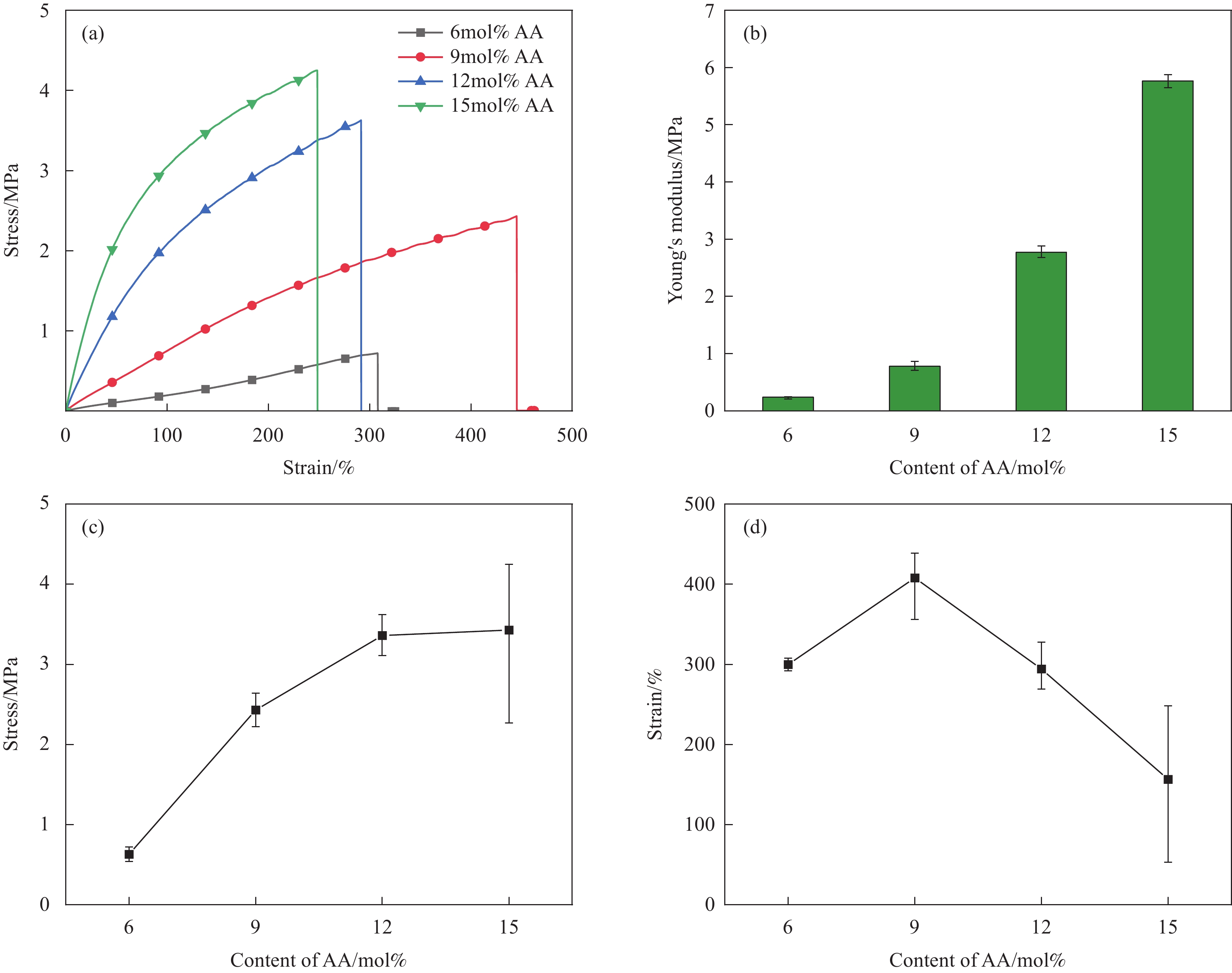
  • 摘要: 通过自由基聚合法和盐溶液浸泡法相结合,制备了一种综合性能良好的离子交联纳米复合水凝胶。首先用水溶性短链壳聚糖(CS)改性埃洛石纳米管(HNTs),再与丙烯酰胺(AM)、丙烯酸(AA)等经过热引发自由基聚合得到纳米复合水凝胶基体,随后浸泡Fe(NO3)3溶液、Na2SO4溶液,得到力学性能优异、具有独特抗溶胀性且抗冻的离子交联纳米复合水凝胶。FTIR及TEM结果证实形成了CS修饰HNTs的结构,复合水凝胶的SEM结果显示浸泡离子后结构变得更加紧密、孔洞尺寸明显减少。考察了不同含量的AA、HNTs对复合水凝胶力学性能的影响。结果表明:当CS为2wt%,AA占单体总量的12mol%、AM占88mol%,HNTs为3.5wt%且浸泡了Fe3+和\textSO_4^2- 离子溶液时,水凝胶的综合力学性能最佳,拉伸强度与断裂伸长率分别达到3.96 MPa与553%,85%应变下的抗压强度为13.4 MPa,且经过去离子水浸泡48 h后,拉伸强度增长到5.64 MPa,模量高达15 MPa,为设计和开发强韧水凝胶提供了新策略。

     

    Abstract: A high-performance ion crosslinked nanocomposite hydrogel was successfully synthesized by integrating free radical polymerization with salt solution immersion. Initially, halloysite nanotubes (HNTs) were modified with water-soluble short chain chitosan (CS), followed by the formation of the nanocomposite hydrogel matrix through thermal initiated radical polymerization with acrylamide (AM), acrylic acid (AA), and other components. Subsequently, soaking the hydrogel in Fe(NO3)3 and Na2SO4 solutions resulted in the formation of an ion crosslinked nanocomposite hydrogel with superior mechanical properties, unique anti-swelling characteristics, and frost resistance. FTIR and TEM analyses confirmed the formation of the HNTs@CS structure. SEM observations of the composite hydrogel revealed a more compact structure and significantly reduced pore size post-ion immersion. The impact of varying AA and HNTs contents on the mechanical properties of the composite hydrogels was investigated. Optimal results are obtained when CS is 2wt%, AA accounts for 12mol% of the total monomer, AM accounts for 88mol%, HNTs is 3.5wt%, and immersion in Fe3+ and \textSO_4^2- ion solutions, yielding the best comprehensive mechanical properties with a tensile strength of 3.96 MPa, elongation at break of 553%, and compressive strength of 13.4 MPa at 85% strain. Following a 48-hour deionized water soaking period, the tensile strength increases to 5.64 MPa, and the modulus reaches 15 MPa, showcasing a new strategy for the design and development of robust and resilient hydrogels.

     

/

返回文章
返回