高粱秸秆负载HKUST-1对四环素的吸附行为与机制

Adsorption behaviour and mechanism of tetracycline by sorghum straw-loaded HKUST-1

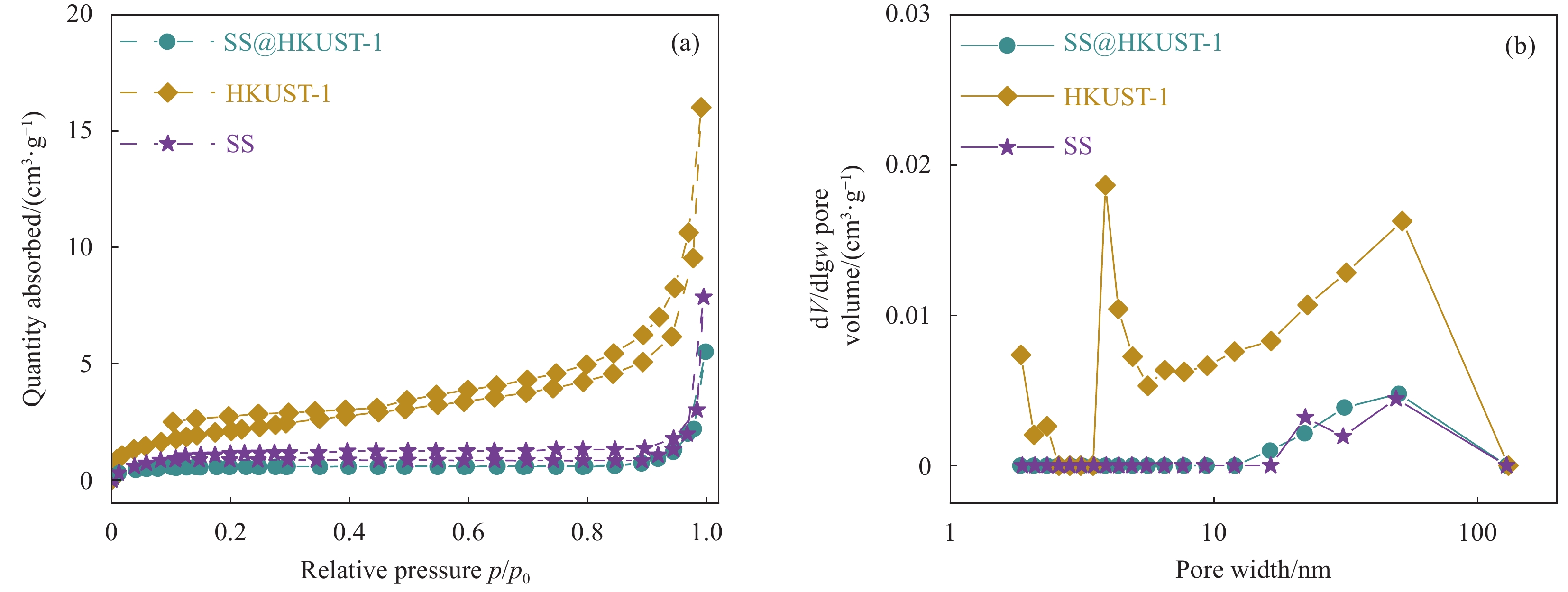
  • 摘要: 四环素(TC)是一种难降解广谱抗生素,广泛存在于畜牧业排放的污废中,排放后会对水体生态环境造成严重的污染,通过吸附法可有效去除。本研究以高粱秸秆(SS)为基材,通过原位生长法在SS表面负载MOFs (HKUST-1)制备SS@HKUST-1复合材料,用于对TC的吸附去除,探究复合材料对TC的吸附行为及吸附机制。研究表明:当pH=7、温度T=25℃、HKUST-1的负载量为31wt%时,吸附容量达到95 mg/g。吸附过程符合准二级动力学模型,吸附等温线符合Freundlich模型,表明复合材料对TC吸附属于多分子层化学吸附。因此,SS@HKUST-1对水中TC的去除具有良好的应用前景。

     

    Abstract: Tetracycline (TC) is a refractory broad-spectrum antibiotic, that is widely present in the waste discharged from animal husbandry, which will cause serious pollution to the ecological environment of water bodies after discharge, and it can be effectively removed by adsorption. In this work, sorghum straw (SS) was used as the substrate to prepare SS@HKUST-1 composites by in-situ growth of MOFs (HKUST-1) on the surface of SS for the adsorption and removal of TC, investigating the adsorption behaviour and adsorption mechanism of composites on TC. The results show that the adsorption capacity reaches 95 mg/g when pH=7, temperature T=25℃ and the load capacity of HKUST-1 is 31wt%. The adsorption process conforms to the pseudo-second-order kinetic model, and the adsorption isotherm conforms to the Freundlich model, which suggests the existence of multimolecular layer chemisorption between TC and adsorbent. Therefore, SS@HKUST-1 has a good application prospect for tetracycline removal in water.

     

/

返回文章
返回