勃姆石/石墨烯多尺度增韧改性碳纤维环氧树脂复合材料

Boehmite/graphene multiscale toughening modification of carbon fiber/epoxy composites

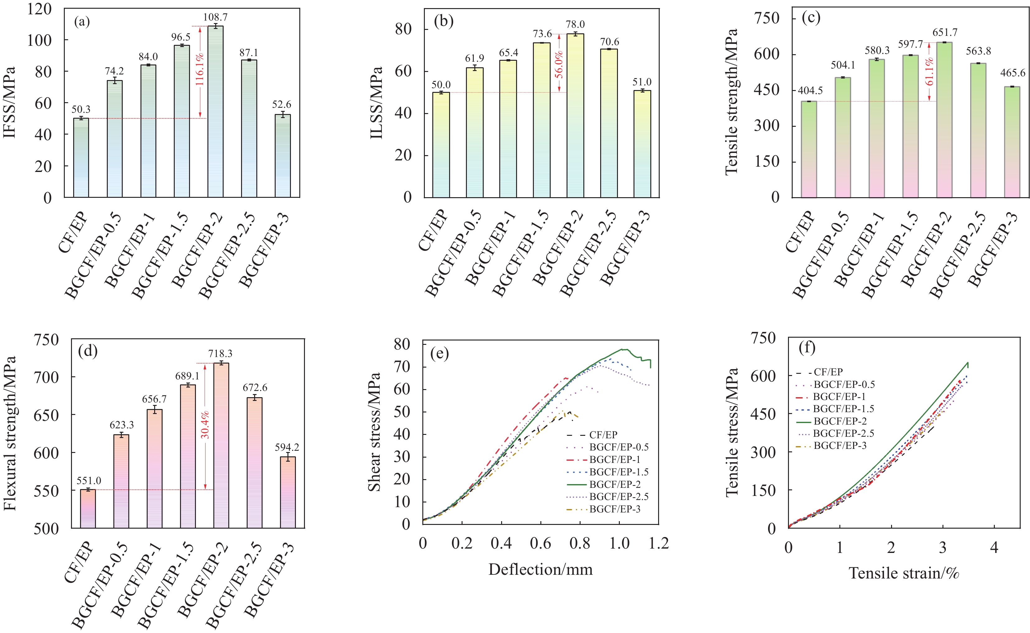
  • 摘要: 碳纤维(CF)与聚合物基体之间界面结合强度较弱的问题严重限制了碳纤维复合材料在汽车轻量化等领域的实际应用。为解决这一问题,采用水热法制备了不同质量比的勃姆石/石墨烯复合粉体(BG),并通过自组装的方式成功负载到碳纤维表面,实现了对碳纤维/环氧树脂复合材料(CF/EPs)界面的改性。通过一系列综合测试对改性前后碳纤维复合材料的力学性能进行了研究,发现当勃姆石/石墨烯质量比为2∶1 (BG-2)时,各项性能最佳。与未经改性的复合材料相比,BG-2改性后复合材料的界面剪切强度、层间剪切强度、拉伸强度和弯曲强度分别提升了116.1%、56.0%、61.1%和30.4%。最后,根据扫描电镜和接触角测试结果进一步分析了复合材料力学性能提升的多尺度界面修饰原理。

     

    Abstract: The weak interface strength between carbon fiber (CF) and polymer matrix severely limits their practical application in fields such as automotive lightweighting. To address this issue, a series of boehmite/graphene (BG) with different contents were prepared by hydrothermal method and successfully introduced to the surface of CF via self-assembly method to modify the interface of carbon fiber/epoxy resin composites (CF/EPs). A series of tests were conducted to investigate the mechanical properties of the composites before and after modification and the results showed that the best performance was achieved when the boehmite/graphene mass ratio was 2∶1 (BG-2). Compared with CF/EP, the modified BGCF/EP-2 showed significant enhancements in interfacial shear strength (116.1%), interlaminar shear strength (56.0%), tensile strength (61.1%), and flexural strength (30.4%). Finally, the schematic diagrams of the possible multiscale interfacial modification mechanism in the CF/EPs were further analyzed based on the results of SEM images and contact angle tests.

     

/

返回文章
返回