冲击荷载作用下仿生双正弦波纹点阵结构动态响应数值模拟

Numerical investigation on dynamic response of bio-inspired bi-directional corrugated lattice structure under impact loading

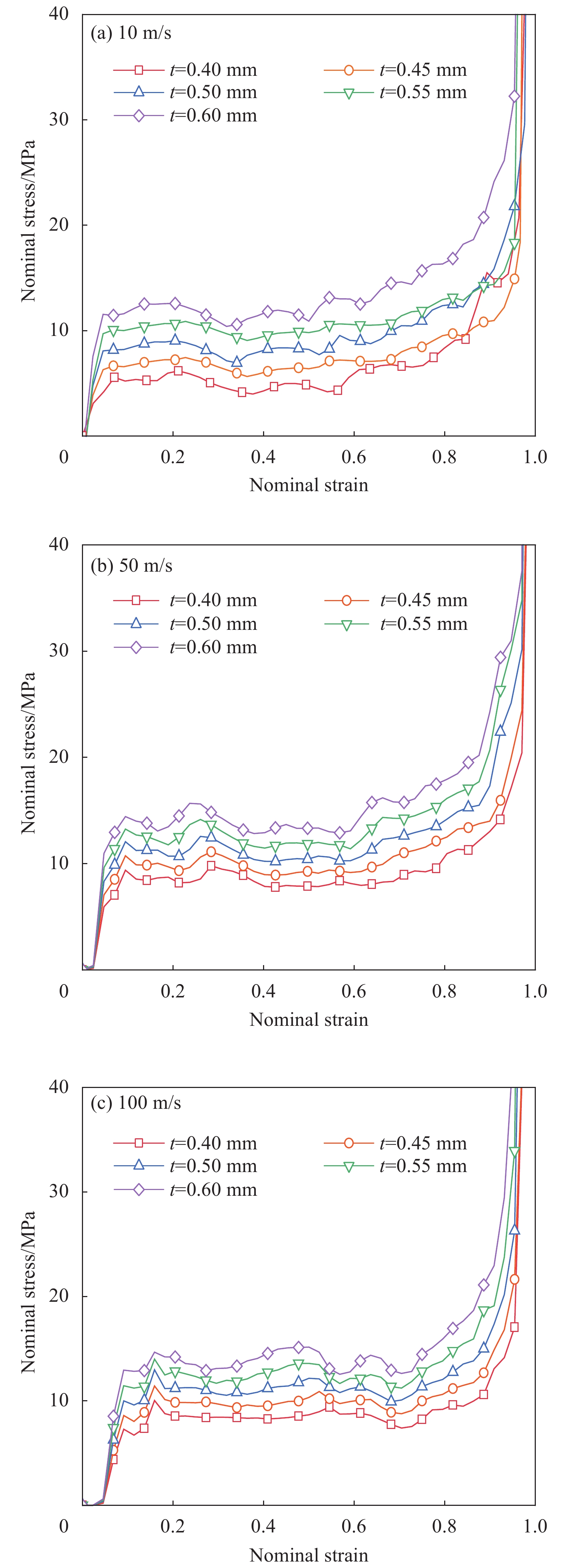
  • 摘要: 为了探究仿生双正弦波纹点阵结构(Bio-inspired bi-directional corrugated lattice structure,BBCLS)的抗冲击性能,采用ANSYS/LSDYNA有限元分析软件建立了其在冲击荷载作用下的有限元数值模型,并基于已有的试验结果与数值模拟结果进行了对比,验证了该模型的有效性。在此基础上,研究了不同冲击速度对BBCLS的应力分布、变形模式、承载能力以及能量吸收特性的影响,并与传统体心立方点阵结构(BCC)进行了对比。同时利用该数值模型进一步分析了振幅、波纹数和胞壁厚度等微结构几何参数对BBCLS抗冲击性能的影响。研究结果表明:BBCLS在冲击荷载作用下的承载能力、吸能总量及比吸能均明显优于传统的BCC点阵结构。BBCLS的冲击动力学响应主要与冲击速度和微结构几何参数有关。在低速冲击时,BBCLS呈现整体变形模式;中高速冲击时,结构向局部变形模式转换。随着冲击速度的提高,增大振幅、波纹数、胞壁厚度均使结构在受到冲击载荷时应力分布均匀,有效增加了冲击端的平台应力。此外,微结构几何参数的改变对结构比吸能以及综合比吸能有显著影响。由于波纹数的增大,BBCLS的承载能力、刚度和吸能性均大幅度提高,当波纹数为8,冲击速度达到100 m/s,相比于波纹数为5,冲击速度为10 m/s比吸能提高201.36%。研究结果为研究仿生点阵结构的冲击变形失效和吸能效果提供了力学依据。

     

    Abstract: In order to explore the impact resistance of bio-inspired bi-directional corrugated lattice structure (BBCLS), ANSYS/LSDYNA finite element analysis software was used to establish the finite element numerical model under the impact load, and the existing test results were compared with the numerical simulation results to verify the effectiveness of the model. On this basis, the effects of different impact velocities on the stress distribution, deformation mode, bearing capacity and energy absorption characteristics of BBCLS were studied, and compared with the traditional body-centered cubic lattice structure (BCC). The effects of the geometric parameters such as amplitude, ripple number and cell wall thickness on the impact resistance of BBCLS were further analyzed using the numerical model. The results show that the carrying capacity, total energy absorption and specific energy of BBCLS under impact load are obviously superior to the traditional BCC lattice structure. The impact dynamic response of BBCLS is mainly related to impact velocity and microstructure geometry parameters. At low speed impact, BBCLS presents an overall deformation pattern. The structure changes to the local deformation mode during the impact of medium and high speed. With the increase of impact velocity, the increase of amplitude, ripple number and cell wall thickness can make the stress distribution of the structure under impact load uniform, and effectively increase the platform stress at the impact end. In addition, the change of microstructure geometric parameters has a significant effect on the specific absorption energy of the structure and the overall specific absorption energy. As the number of ripples increases, the bearing capacity, stiffness and energy absorption of BBCLS are greatly improved. When the number of ripples is 8, the impact velocity reaches 100 m/s. Compared with the number of ripples, the impact velocity is 10 m/s, which is 201.36% higher than the energy absorption. The results provide a mechanical basis for the study of impact deformation failure and energy absorption effects of bionic lattice structures.

     

/

返回文章
返回